링크 : https://leetcode.com/problems/remove-duplicates-from-sorted-array-ii/description/
문제 설명
Given an integer array nums sorted in non-decreasing order, remove some duplicates in-place such that each unique element appears at most twice. The relative order of the elements should be kept the same.
Since it is impossible to change the length of the array in some languages, you must instead have the result be placed in the first part of the array nums. More formally, if there are k elements after removing the duplicates, then the first k elements of nums should hold the final result. It does not matter what you leave beyond the first k elements.
Return k after placing the final result in the first k slots of nums.
Do not allocate extra space for another array. You must do this by modifying the input array in-place with O(1) extra memory.
Custom Judge:
The judge will test your solution with the following code:
int[] nums = [...]; // Input array
int[] expectedNums = [...]; // The expected answer with correct length
int k = removeDuplicates(nums); // Calls your implementation
assert k == expectedNums.length;
for (int i = 0; i < k; i++) {
assert nums[i] == expectedNums[i];
}
If all assertions pass, then your solution will be accepted.
Example 1:
Input: nums = [1,1,1,2,2,3]
Output: 5, nums = [1,1,2,2,3,_]
Explanation: Your function should return k = 5, with the first five elements of nums being 1, 1, 2, 2 and 3 respectively.
It does not matter what you leave beyond the returned k (hence they are underscores).
Example 2:
Input: nums = [0,0,1,1,1,1,2,3,3]
Output: 7, nums = [0,0,1,1,2,3,3,_,_]
Explanation: Your function should return k = 7, with the first seven elements of nums being 0, 0, 1, 1, 2, 3 and 3 respectively.
It does not matter what you leave beyond the returned k (hence they are underscores).
Constraints:
- 1 <= nums.length <= 3 * 104
- 104 <= nums[i] <= 104
- nums is sorted in non-decreasing order.
문제 풀이
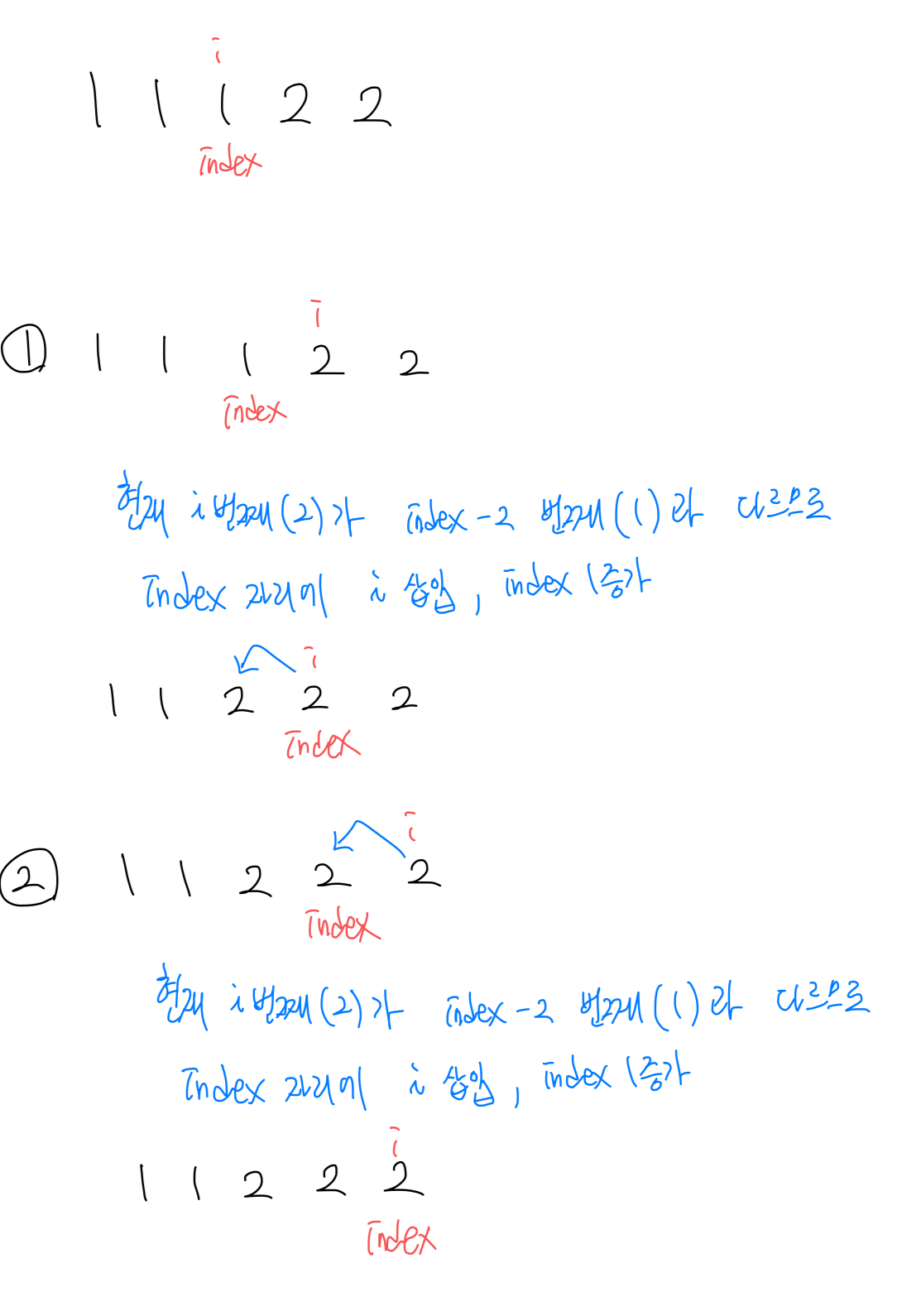
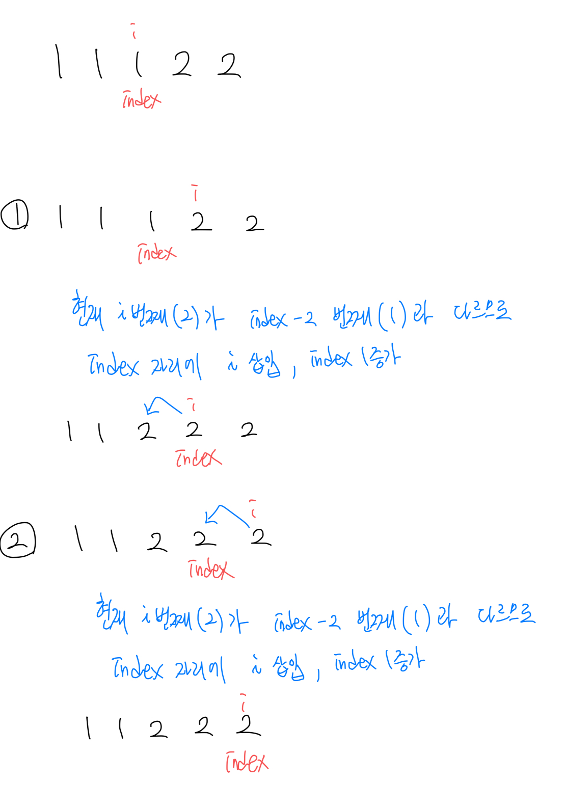
2개의 포인터를 이용하여 문제를 풀이
1. 최대 2개의 연속된 수를 가질 수 있으므로 시작은 2부터 시작
2. 현재 요소가 유효한지 확인
- nums[i] !== nums[index - 2]
- 현재 요소(nums[i])가 nums[index - 2]와 같다면 3개 이상 존재하는 것
3. 배열 업데이트
- nums[index] = nums[i]; index++;

/**
* @param {number[]} nums
* @return {number}
*/
var removeDuplicates = function(nums) {
let index = 2;
for (let i = 2; i < nums.length; i++) {
if (nums[i] !== nums[index - 2]) {
nums[index] = nums[i];
index++;
}
}
return index;
};
결론
배열의 원소를 최대 2개만 보이도록 하는 로직을 생각하는게 핵심
'코딩테스트 > LeetCode' 카테고리의 다른 글
| LeetCode Subsets ll (JavaScript), backtracking (0) | 2025.12.18 |
|---|---|
| LeetCode Search in Rotated Sorted Array (JavaScript) (0) | 2025.12.17 |
| LeetCode Set Matrix Zeroes (JavaScript) (0) | 2025.12.16 |
| LeetCode Simplify Path (JavaScript) (1) | 2025.12.15 |
| LeetCode Minimum Path Sum (JavaScript) (0) | 2025.12.11 |