링크 : https://leetcode.com/problems/remove-nth-node-from-end-of-list/
문제 설명
더보기

Given the head of a linked list, remove the nth node from the end of the list and return its head.
Example 1:

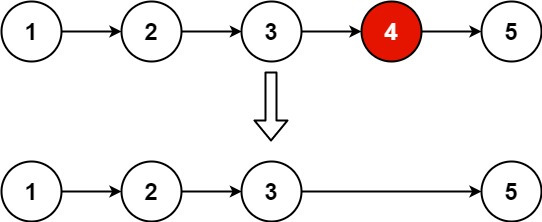
Input: head = [1,2,3,4,5], n = 2
Output: [1,2,3,5]
Example 2:
Input: head = [1], n = 1
Output: []
Example 3:
Input: head = [1,2], n = 1
Output: [1]
Constraints:
- The number of nodes in the list is sz.
- 1 <= sz <= 30
- 0 <= Node.val <= 100
- 1 <= n <= sz
문제 풀이
뒤에서 값을 지우기 위해 pointer를 하나 두어 계산
n만큼 head를 이동, 이후 pointer와 head를 같이 head의 마지막까지 이동
위와 같이 이동하면 pointer의 다음은 지워야할 숫자 (즉, 뒤에서 n 번째에 해당하는 숫자가 됨)

/**
* Definition for singly-linked list.
* function ListNode(val, next) {
* this.val = (val===undefined ? 0 : val)
* this.next = (next===undefined ? null : next)
* }
*/
/**
* @param {ListNode} head
* @param {number} n
* @return {ListNode}
*/
var removeNthFromEnd = function(head, n) {
const dummy = new ListNode(0, head);
let pointer = dummy;
for (let i = 0; i < n; i++) {
head = head.next;
}
while (head) {
head = head.next;
pointer = pointer.next;
}
pointer.next = pointer.next.next;
return dummy.next;
};
결론
pointer를 하나 두어 마지막에서 n 번째를 계산하는 로직을 세워야 함.
O(N)의 시간복잡도를 가짐
'코딩테스트 > LeetCode' 카테고리의 다른 글
| LeetCode Word Search (JavaScript), DFS (0) | 2025.11.18 |
|---|---|
| LeetCode Generate Parentheses (JavaScript) (0) | 2025.11.17 |
| LeetCode 4Sum (JavaScript) (0) | 2025.11.17 |
| LeetCode Letter Combinations of a Phone Number (JavaScript) (0) | 2025.11.17 |
| LeetCode Container With Most Water (JavaScript) (0) | 2025.11.16 |